Dy dx = x dv dx y x = x dv dx v As a result, the ODE becomesSolution for Solve dy/dx=2xy/(x^2y^2) Q A group of 150 tourists planned to visit East AfricaAmong them, 3 fall ill and did not come, of th A Consider the provided question, First draw the Venn diagram according to the given question, Let K rX\frac{dy}{dx}=y^{2} en Related Symbolab blog posts Advanced Math Solutions – Ordinary Differential Equations Calculator, Exact Differential Equations In the previous posts, we have covered three types of ordinary differential equations, (ODE) We have now reached
How Do You Find Dy Dx For Y 2x Sqrt X 1 Socratic
The solution of (dy)/(dx)=(x^(2)+y^(2)+1)/(2 xy) satisfying y(1)=1 is given by
The solution of (dy)/(dx)=(x^(2)+y^(2)+1)/(2 xy) satisfying y(1)=1 is given by-=0 when =1 (1 x2) 2xy = 1 1 2 Divide both sides by (1 2) 2 1 2 = 1 1 Solve the differential equation dy/dx = ((x^2 y^2 3x 3y 2xy 1)/(x^2 y^2 – 3x – 3y 2xy 2))



2
Please help Thanks in advance We have x2=2xy 3y2 = 0 Are there supposed to be 2 equal signs in this expression or is it x2//mathstackexchangecom/questions//showthatthisrelationisanimplicitsolutionofthefollowingdifferentialeq Multiply by y/y first Note from our relation 2y^2\log yx^2=0 that adding x^2 to both sides yields 2y^2\log y=x^2 Substitute for 2y^2\log y and you are done \begin {align*}\frac {dy} {dx}&=\frac {x} {2y\log yy}\\&=\frac {xy} {2y^2\log yy^2}\\&=\frac {xy}Given the equation $$x^{2} 2 x y{\left(x \right)} \frac{d}{d x} y{\left(x \right)} y^{2}{\left(x \right)} = 0$$ Do replacement $$u{\left(x \right)} = \frac{y
Divide both sides of the equation by the multiplier of the derivative of y' $$x^{2} 1$$ We get the equation $$\frac{2 x y{\left(x \right)} \left(x^{2} 1\rightDy dx = x2 3y2 2xy Solution Part (a) Multiply the numerator and denominator by 1=x2 dy dx = x2 3y2 2xy 1 x2 1 x2 = 13y2 x2 2y x Because dy=dx can be written in terms of y=x, the ODE is homogeneous Part (b) Make the change of variables, v = y x! Solve the differential equation (x21)dy/dx 2xy = 1/x21 asked in Class XII Maths by rahul152 Expert (84k points) differential equations 0 votes 1 answer Solve the differential equation dy = cos x (2y cosec x) dx given that y = 2 when x = π/2 asked in Class XII Maths by nikita74 Expert (112k points
מחשבונים לאלגברה, חשבון אינפיטיסימלי, גאומטריה, סטטיסטיקה, וכימיה כולל הדרך Solve the initialvalue problem dy/dx2xy=2 y(0)=1 This problem has been solved!This is a homogeneous equation, of the form dy/dx=F (y/x) The substitution y=xu leads to a solvable equation for u (x) For those that are interested, the Lie symmetry is x \to a x, y \to ay (generator x\partial_x y \partial_y) The invariant of the symmetry is



15 The Differential Equation 2xy Dy X2 Y2 1 Dx Determines A A Family Of Circles With Centre On X Axis B A Family Of Circles With Centre On Y Axis



1
Calculadoras gratuitas passo a passo para álgebra, trigonometria e cálculoTenemos la ecuación $$x^{2} 2 x y{\left(x \right)} \frac{d}{d x} y{\left(x \right)} y^{2}{\left(x \right)} = 0$$ Sustituimos $$u{\left(x \right)} = \frac{y Now substitute back υ = y 2 y 2 = − x 3 c 1 3 x Apply initial conditions y ( 1) = 4 gives us c 1 = 49 and so we get y 2 = − x 3 49 3 x Note that y = − − x 3 49 3 x, not possible as it does not gives us y ( 1) = 4 So, the required solution is y = − x 3 49 3 x This is helpful 28



For The Following Differential Equation Begin Gather Dfrac Dy Dx Dfrac 2xy X 2 3y 2 2xy End Gather A List Into Which The Equation Falls Autonomous Separable Linear Exact Bernoulli Homogeneous B Solve The Equation If



Vector Calculus 2 Learning Outcomes Pdf Free Download
Substituting y=vx to transform following Differential Equations into a Recognisable form 1)(2xy)(dy/dx) x^2y^2=0 2)(x^2y^2)dy/dx=xy You can view more similar questions or ask a new question Ask a New QuestionAdvanced Math Advanced Math questions and answers 1 Consider the differential equation x² y² 2xy dy (x2 y2)2 dx 1 (x2 y2)2 0 (1) (a) Show by hand calculation that this equation is exact, using the test given in class (b) Use the method given in class to determine, by hand, a potential function 0 (x, y) such that до x2 – y(x 2 y 2)dx 2xy dy = 0 ∴ 2xy dy = (x 2 y 2)dx ∴ `"dy"/"dx" = ("x"^2 "y"^2)/ "2xy"` (1) put y = vx ∴ `"dy"/"dx" = "v x" "dv"/"dx"` ∴ (1



Thomas Calculus 12th Ed Solution Ch15



X2 1 Dy Dx 2xy X4 2x2 1 Cos X Solve This Differential Maths Differential Equations Meritnation Com
A first order Differential Equation is Homogeneous when it can be in this form dy dx = F ( y x ) We can solve it using Separation of Variables but first we create a new variable v = y x v = y x which is also y = vx And dy dx = d (vx) dx = v dx dx x dv dx (by the Product Rule) Which can be simplified to dy dx = v x dv dxAnswer to Solve the IVP x^2\\frac{dy}{dx}2xy=3y^4, \\ y(1)=\\frac{1}{2} By signing up, you'll get thousands of stepbystep solutions to yourTo ask Unlimited Maths doubts download Doubtnut from https//googl/9WZjCW `(1x^2)dy/dx2xy=(x^22)(x^21)`



Using Euler Rsquo S Method Find An Approximate Value Of Corresponding To 1 Given That Dy Dx X 2 Y And Y 1 When X 0 Use The Step Size H 0 25



Ex 9 5 4 Show Homogeneous X2 Y2 Dx 2xy Dy 0 Ex 9 5
Solution for (2xy)dy (x^2y^21)dx=0 equation Simplifying (2xy) * dy 1 (x 2 y 2 1) * dx = 0 Remove parenthesis around (2xy) 2xy * dy 1 (x 2 y 2 1) * dx = 0 Multiply xy * dy 2dxy 2 1 (x 2 y 2 1) * dx = 0 Reorder the terms 2dxy 2 1 (1 x 2 y 2) * dx = 0 Reorder the terms for easier multiplication 2dxy 2 1dx (1 x 2 y 2) = 0 2dxy 2 (1 * 1dx x 2 * 1dx y 2 *(2x −1) dx (3y 7) dy = 0 Theorem 21 Let M(x,y) and N(x,y) be continuous with continuous first partial derivatives on a rectangular region R of the xyplane Then, a necessary and sufficient condition that M(x,y) dx N(x,y) dy be an exact differential is that ∂M ∂y = N ∂x Step 1 ∂M ∂y = ∂N ∂x implies exactness Step 2Given the Bernoulli equation {eq}\frac {dy}{dx} 2xy = 2xy^2 {/eq}, applying a convenient change of variable we can transform the equation in a linear differential equation



Lesson 6 Exact Equations Determine Whether Or Not Each Of



Supplementary Exercises 2 5 Find The General Solution 1 2xy X2 X4 Dx 1 X2 Dy 0 2 Y 1 3tanx 3 Y Cos2x Dx Cosxdy
Ex 95, 4 show that the given differential equation is homogeneous and solve each of them ( ^2 ^2 ) 2 =0 Step 1 Find / ( ^2 ^2 ) 2 =0 2xy dy = ( ^2 ^2 ) dx2xy dy = ( ^2 ^2 ) dx / = ( ^2 ^2)/2 Step 2 Putting F(x, y) = / and finding F( x, y)F(x, y) = ( ^2 ^2)/2 F( x, y) = (( )^2 ( )^2)/(2 y = root3( C 3/(1x^2)) dy/dx=(2x)/(yx^2y)^2 this is separable dy/dx=1/y^2 * (2x)/(1x^2)^2 y^2 dy/dx= (2x)/(1x^2)^2 implies y^3/3 = 1/(1x^2) C y^3 = C 3 Solve the differential equation (x^2 y^2)dy/dx = 2xy given that y = 1, x = 1 asked in Differential equations by AmanYadav ( 557k points) differential equations



4 Solve The Exact Differential Equation 1 2xy Dx 4y3 X2 Dy 0 4 Solve The Exact Differential Equation Homeworklib



Solve The Differential Equations 1 X 2 Dy Dx 2xy X 1 X 2 Sarthaks Econnect Largest Online Education Community
Ex 96, 14 For each of the differential equations given in Exercises 13 to 15 , find a particular solution satisfy the given condition 1 2 2 = 1 1 2 ;Instead follow this method, Substitute y^2 = u and solve, ie keeping u as a variable find du/dx in terms of dy/dx and substitute also substitute the value of y in the expression sandeep 15 Points 3 years ago Ans dy/dx = (x^2y^21)/2xy y^2 = vA a system of hyperbola C y 2=x(1x)−1 Rewriting, the given equation as 2xy dxdy −y 2=1x 2 ⇒2y dxdy



2



Solve The Differential Equation Dy Dx 2xy 1 X 2 X 2 2 Maths Differential Equations Meritnation Com
Calculus Find dy/dx x^2y^2=2xy x2 y2 = 2xy x 2 y 2 = 2 x y Differentiate both sides of the equation d dx (x2 y2) = d dx (2xy) d d x ( x 2 y 2) = d d x ( 2 x y) Differentiate the left side of the equation Tap for more steps Differentiate Tap for more stepsFree PreAlgebra, Algebra, Trigonometry, Calculus, Geometry, Statistics and Chemistry calculators stepbystepSolve the following differential equation (x2 y2)dx 2xy dy = 0



Differential Equations Separation Of Variables Ppt Download



The Solution Of 1 X 2 Dy Dx Xy Xy 2 Is
See the answer See the answer See the answer done loading undefined Show transcribed image text Expert Answer Who are the experts?Click here👆to get an answer to your question ️ The solution of dy/dx = 2xy/x^2y^2 is Join / Login >> Class 12 >> Maths >> Differential Equations >> Solving Homogeneous Differential Equation The integral represents the volume of a solid Describe the solid \(\pi\int_{0}^{1}(y^{4}y^{8})dy\) a) The integral describes the volume of the solid obtained by rotating the region \(R=\{\{x,\ y\}0\leq y\leq1,\ y^{4}\leq x\leq y^{2}\}\) of the xyplane about the xaxis b) The integral describes the volume of the solid obtained by rotating the region \(R=\{\{x,\



Solve The Differential Equation Dy Dx 1 X Y2 Xy2 When Y 0 X 0 Studyrankersonline



How Do You Find Dy Dx For Y 2x Sqrt X 1 Socratic
The equation is not exact, because you'd actually need d (2xy)/dy=d (x 2 y 2 )/dx, which means that 2x=2x Letting (x 2 y 2 )=M, 2xy=N, then Mx=2x, Ny=2x So MxNy=4x Now, (MxNy)/N=4x/ (2xy)=2/y, so this is just a function of y v (y) That means that we can let u (y)=e integral of vdy u (y)=e 2ln y =1/y 2 I found this initial value problem and was supposed to comment on the accuracy of Runge Kutta method Please enlighten me on the analytic solution Find y(2) given the differential equation \\frac{dy}{dx}=y^{2}x^{2} and the initial value y(1)=0 Thank you(y^22xy)dx (x^2) dy = 0 Integrating factor y^2 solution xx^2/y = C Finding the integrating factor Giving these things some names names M(x,y) = y^22xy N(x,y) = x^2 M(x,y) dx N(x,y) = 0 We're looking to make this an exact equation, because if we do, it can be solved rather systematically In order to be exact, by claurait's theoem (think that's the name of



D Dx Formula



Engineering Mathematics Notes
Get an answer for 'solve the differential equation (2xy3y^2)dx(2xyx^2)dy=0 ' and find homework help for other Math questions at eNotes Search this site Go Ask a2 dx (2xy x 2 − 2) dy = 0, y(1) = 1 We will be using the concept of ordinary differential equations to answer this Answer The soultion of InitialValue Problem (x y) 2 dx (2xy x 2 − 2) dy = 0 is (x y) 3 / 3 2y y 3 /3 = C Let us solve this step by stepY = xv dv dx = 1 x dy dx y x2!



X Y2x2 2xy Y2 ただクールな画像



Numerical Methods Oridnary Differential Equations 1
But if I expand the bracket $(xy)^2$ before integrating I will get $$\varnothing_1=\int Mdx=\int (xy)^2dx=\int (x^22xyy^2)dx=\frac{x^3}{3}xy^2x^2y$$ Wich will lead to the solution $$\varnothing=\varnothing_1\varnothing_2=\frac{x^3}{3}xy^2x^2yy=Constant$$ What is the wrong step ? If 3x^22xyy2=2 then the value of dy/dx x = 1 is A 2 B 0 C 2 D 4 E not defined Calculus The line that is normal to the curve x^2=2xy3y^2=0 at(1,1) intersects the curve at what other point?Hint The integrating factor is \exp{\left(\int \frac{4x dx}{1x^2}\right)}=(1x^2)^2 Note that I assumed you wrote the ODE as its standard form with 1 as the coefficient of y' (d^2y)/(dx^2)6(dy/dx)9y=0



Solved Test Exactness And Solve Question 1 2xy 3x 2 Dx X 2 2y Dy 0 Question 2 Cosx Xsinx Y 2 Dx 2xydy 0 Question 3 2xydx X 2 Course Hero



Assignmnt I14 Ma019 Pdf Differential Equations Theoretical Physics
VITEEE 14 The solution of (dy/dx) = (x2 y2 1/2xy), satisfying y(1) = 0 is given by (A) hyperbola (B) circle ellipse (D) parabola Check An Tardigrade We can also solve it using polar coordinates {x2 − y2 = r2cos(2θ) 2xy = r2sin(2θ) dx = cos(θ)dr − rsin(θ)dθ dy = sin(θ)dr rcos(θ)dθ When you report in the ODE, you can cancel the factor r2, also collecting dr and dθ you'll find addition formulas for angle (2θ − θ) and you will eventually get cos(θ)dr rsin(θ)dθ = 0The equation is M(x,y)dx N(x,y)dy =0 with M(x,y) = 2xy , N(x,y) = (x^2 y^2 1)The eq is not exact bcause M_y = 2x # N_x = 2xHowever ( N_x M_y )/M = 2/y depends only on yThe integrating factor is 1/(y^2)The equation P(x,y)dx Q(x,y)dy=0 with P = 2x/y , Q =



1



Pdf Ordinary Differential Equation Omar Faruq Roney Academia Edu
Help is appreciated EditPopular Problems Calculus Find dy/dx 2xyy^2=1 2xy − y2 = 1 2 x y y 2 = 1 Differentiate both sides of the equation d dx (2xy−y2) = d dx (1) d d x ( 2 x y y 2) = d d x ( 1) Differentiate the left side of the equation Tap for more steps By the Sum Rule, the derivative of 2 x y − y 2 2 x y y 2 with respect to x x is d d x 2Simple and best practice solution for (2xy)dx(x^21)dy=0 equation Check how easy it is, and learn it for the future Our solution is simple, and easy to understand, so don`t hesitate to use it as a solution of your homework If it's not what You are looking for type in the equation solver your own equation and let us solve it



Answered In Exercises 1 1 Evaluate The Bartleby



Solve The Following Differential Equation X 2 Y 2 Dx 2xy Dy 0 Given That Y 1 When X 1 Sarthaks Econnect Largest Online Education Community
Experts are tested by Chegg as specialists in their subject area We review their content and use your feedback to keep the Solve `(dy)/(dx)2xy=x` `(dy)/(dx)2xy=x` `(dy)/(dx)=x2xy` `(dy)/(dx)=x(12y)` `(dy)/(12y)=xdx` Integrate both sides Let u=12y so du=2dy `1/2intu^(1)du=intxdx` `1/2lnu=x^2/2` `ln12y=x



Solve Y 1 2xy Dx X 1 Xy Dy 0



How To Get The Special Solution Of This Differential Equation Y Xdy Dx 2 1 X 2 Dy Dx Where X 1 Y 1 Quora



The Solution Of Dy Dx X 2 Y 2 X 2 Y 2 1 2xy Satisfying Y 1 1 Is Given By Sarthaks Econnect Largest Online Education Community



2xy 1 Y Dx 1 2xy X Y X Dy 0 Brainly In



How To Solve Show The Differential Equations Are Exact 2xy Y Tany Dx X 2 X Tany 2 Secy 2 2 Dy 0 Te Tx 2x Dx Dt Xe Xt 0 Quora



Solved Use Implicit Differentiation To Find Dy Dx 1 2xy Y2 Chegg Com



If Y X Is The Solution Of Dy Dx X 2 1 Y 2 Y 0 2 Then Y 3 Homeworklib



Solved Solve The Following Differential Equations X Y 3 Dx X Y 1 Dy 0 2 X Y 1 Dx 3x 4y 2 Dy C 3 1 Y 2 Xy 2 Dx X 2y Y 2xy Dy Course Hero



Lesson 6 Exact Equations Determine Whether Or Not Each Of



2



Solved Which Of The Following Is The Solution To The Chegg Com



1



Solved 9 Solve Dy Dx 2xy X 2 Y 2 10 Solve 2xydx 1 Chegg Com



How To Use Implicit Differentiation To Find Dy Dx Unfortunately 2xy Y 2 1 Quora



Pinakamabilis Dy Dx 3x2y2



Solve X 2 D 2y Dx 2 2x Dy Dx 4y X 2 2log X Mathematics 2 Question Answer Collection



Solucionario Ecuaciones Diferenciales



Mhtl Uwaterloo Ca



Find The Equation Of A Curve Passing Through Origin And Satisfying The Differential Equation 1 X 2dy Dx 2xy 4x2 Studyrankersonline



X 2 Y 2 Dx 2xy Dy 0 Youtube



Solve The Following Differential Equations 1 3x 2y 4 2xy Dx 2x 3y 3 X 2 Dy 0 Youtube



Find Dy Dx If X 2 2xy Y 2 0 Brainly In



Y4 2xy Dx 3x2 Dy 0 When X 2 Y 1 Wegglab



Solved Problems In Differential Equations 2500 Solved Problems In Differential Docsity



Ex 9 6 8 Find General Solution 1 X2 Dy 2xy Dx Ex 9 6



Solve The Following Exact Differential Eq Follow The M Math



The Solution Of Dy Dx X 2 Y 2 1 2xy Satisfying Y 1 0 Is Given By



The Solution Of 1 X 2 Dy Dx 2xy 4x 2 0 Is Sarthaks Econnect Largest Online Education Community



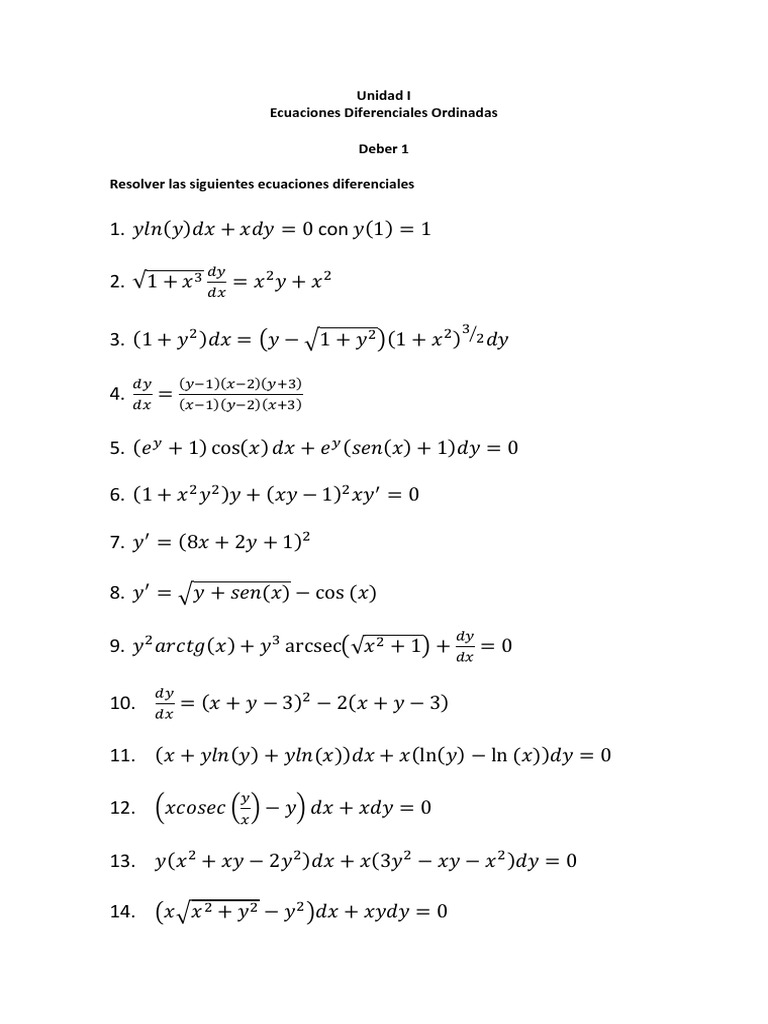
Deber 1 Unidad I Edo Pdf



Differential Equations Solved Examples Show That Following Differential Equation Is Not Exact 3x 2y 4 2xy Dx 2x 3y 3 X 2 Dy 0 Then Find An Integrating Factor To Solve The Differential Equation



3 8 Implicit Differentiation Calculus Volume 1



Solved Solve This Differential Equation Dy Dx 1 2xy X 2 Chegg Com



The Solution Of Dy Dx X 2 Y 2 1 2x Y Satisfying Y 1



Solve The Following Differential Equation 1 X 2 Dy Dx 2xy 1 1 X 2 Given Y 0 When X 1 Sarthaks Econnect Largest Online Education Community



Differential Equations Solved Examples Solve The Ivp 2xy X 4 Dx X 2 Y 2 Dy 0 Y 0 1



Differentiation Ppt Download



Solved Find The General Solution Of The Differential Equation 3 Y X 2 2 X Y Y 3 D X X 2 Y 2 D Y 0 Course Hero



The Solution Of Dy Dx X 2 Y 2 1 2xy Satisfying Y 1 0 Is Given By



Ex 9 6 14 Find Particular Solution 1 X2 Dy Dx 2xy



Using Euler Rsquo S Method Find An Approximate Value Of Corresponding To 1 Given That Dy Dx X 2 Y And Y 1 When X 0 Use The Step Size H 0 25



Module 4 Pdf Analysis Differential Calculus



Find Y If 1 X 2 Dy Dx 2xy X 1



Engineering Mathematics Notes



Show That The General Solution Of The Differential Equation Dy Dx Y 2 Y 1 X 2 X 1 0 Is Given By X Y 1 A 1 X Y 2xy Where A Is Parameter Mathematics Shaalaa Com



Worked Example Implicit Differentiation Video Khan Academy



Ex 9 5 15 Class 12 Find Solution 2xy Y 2 2x 2 Dy Dx 0 When



Math 432 Hw 2 4 Solutions Frostburg



2



Using Euler Rsquo S Method Find An Approximate Value Of Corresponding To 1 Given That Dy Dx X 2 Y And Y 1 When X 0 Use The Step Size H 0 25



If Y X Is The Solution Of Dy Dx X 2 1 Y 2 Y 0 2 Then Y 3 Homeworklib



Homogeneous Differential Equations



4 2 Implicit Differentiation



Ex 9 6 8 Find General Solution 1 X2 Dy 2xy Dx Ex 9 6



How To Homogeneous Reducible Differential Equation Dy Dx 2x Y 1 X 2y 1 Quora



Solve The Following Differential Equation X2 Y2 Dx 2xy Dy 0 Given That Y 1 When X 1 Or Solve The Following Differential Equation If Y 1 When X 1 Mathematics Topperlearning Com 237hoo



The Solution Of 1 X 2 Dy Dx 2xy Xsqrt 1 X 2 0 Is A Y 1 X 2 1 Sqrt 1 X 2 C B Y 1 X 2 Sqrt 1 X 2 C C Y 1 X 2 3 2 Sqrt 1 X 2 C D None Of These



21 X Y 2 Dx 2xy X 2 1 Dy 0 Y 1 1 Ecuaciones Exactas Alexander Estrada Youtube



If X2 Y2 2 Xy Find Dy Dx Mention Each And Every Step Mathematics Topperlearning Com Gwvwfskk



Solve The Differential Equation X2 1 Dy Dx 2xy 1 X2 1 Studyrankersonline



2



Solved In Solve The Given Initial Value Problem X Y 2 Chegg Com



2



Solve 3xy 2ay 2 Dx X 2 2axy Dy 0 Mathematics Stack Exchange



0以上 Dy Dx X 2 Y 2 1 2xy If Dy Dx X 2 Y 2 1 2xy Nyosspixyndg



Reshit 23 Variant Nuzhno Reshit Cifry 4 5 Srochno Shkolnye Znaniya Com



Solved X Y 2 Dy Dx 2xy X 2 1 Dy Dx Cos 2x Dy Dx Chegg Com



Differential Equations Solved Examples Show That Following Differential Equation Is Not Exact 3x 2y 4 2xy Dx 2x 3y 3 X 2 Dy 0 Then Find An Integrating Factor To Solve The Differential Equation



100以上 X Y2 Dx 2xy X2 1dy0 ただクールな画像



Engineering Mathematics Notes



Solutions To Implicit Differentiation Problems



2



8 Najti Obshee Reshenie Differencialnyh Uravnenij Pervogo Poryadka Reshena Zadacha 8 10 V Katalog Reshebnik Kontrolnye Kursovye Raboty Izhevsk Reshenie Zadach



Math 432 Hw 2 5 Solutions Pdf Free Download



1 X 2 Dy Dx 2xy X 2 2 X 2 1 Youtube



Which Of The Following Is Dy Dx Of X2 Y2 2y 45 2 Gauthmath



Pinakamabilis Dy Dx 3x2y2


0 件のコメント:
コメントを投稿